某黄土场地采用碱液法处理,灌注孔成孔深度为4. 8m,注液管底部距地表距离为 1.2m,碱液充填系数为0.7,工作条件系数为1.1, 土体天然孔隙比为1....

作者: rantiku 人气: - 评论: 0
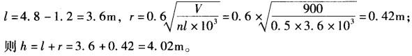
问题 某黄土场地采用碱液法处理,灌注孔成孔深度为4. 8m,注液管底部距地表距离为 1.2m,碱液充填系数为0.7,工作条件系数为1.1, 土体天然孔隙比为1.0,按《建筑地基处理技术规范》(JGJ 79—2002)计算。 (2)如单孔碱液灌注量为900L,加固厚度为( )m。 A. 4.0 B. 4.02 C. 5.2 D. 5.22
选项
答案 B
解析 根据《建筑地基处理技术规范》(JGJ 79—2002)第16. 2. 7 ~ 16. 2. 8条,加固厚度 的计算公式为:h=l+r。 式中,l为灌注孔长度,从注液管底部到灌注孔底部的距离;r为有效加固半径。

猜你喜欢

发表评论
更多 网友评论0 条评论)
暂无评论

访问排行

Copyright © 2012-2014 恰考网 Inc. 保留所有权利。 Powered by tikuer.com

页面耗时0.0421秒, 内存占用1.03 MB, Cache:redis,访问数据库20次