某2.0m厚坝基,其表层为砂粉土,下伏中砂层,坝下游坡脚表层砂土顶、底面的水头差为1.8m,,粉砂层孔隙率为40%,粉砂相对密度为2. 65,安全系数取2...

作者: rantiku 人气: - 评论: 0
问题 某2.0m厚坝基,其表层为砂粉土,下伏中砂层,坝下游坡脚表层砂土顶、底面的水头差为1.8m,,粉砂层孔隙率为40%,粉砂相对密度为2. 65,安全系数取2.0,排水盖重层容重1.85g/cm3,盖重层位于水位以下。根据《碾压式土石坝设计规范》(SL 274—2001),排水盖重层的厚度宜为( )m。(排水盖重层重度为1.85g/cm2) A. 1.6 B. 1.9 C. 2.2 D. 3.0
选项
答案 B
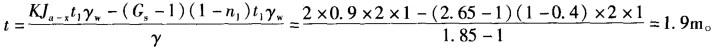
解析 根据《碾压式土石坝设计规范》(SL 274—2001)第8. 2. 4条, ①判别设置排水盖重层的必要性: Ja―x =Δh1/ht = 1.8/2 =0. 9; (Gs-1)(1-n1)/K = (2.65-1)×(1 -0.40)/2 = 0. 495; 得出:Ja-x=0.9>(Gs-1)(1-n1)/K= 0.495; 由于坝基表层土的渗透系数小于下层土的渗透系数,而下游渗透出逸比降又符合上式时应设置排水盖重层或排水减压井,所以应在坝下游设置排水盖重层。 ②排水盖重层的厚度: 故排水盖重层厚度宜为1.9m。

猜你喜欢

发表评论
更多 网友评论0 条评论)
暂无评论

访问排行

Copyright © 2012-2014 恰考网 Inc. 保留所有权利。 Powered by tikuer.com

页面耗时0.0435秒, 内存占用1.03 MB, Cache:redis,访问数据库20次