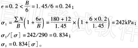
一非浸水重力式挡土墙,墙体重力W=180kN,墙后主动土压力水平分力、垂直分力分别为75kN、2kN,墙基底宽B=1.45m,基底合力偏心距e= 0. 2...

作者: rantiku 人气: - 评论: 0
问题 一非浸水重力式挡土墙,墙体重力W=180kN,墙后主动土压力水平分力、垂直分力分别为75kN、2kN,墙基底宽B=1.45m,基底合力偏心距e= 0. 2m,地基容许承载力[σ] =290kPa,则挡土墙趾部压应力σ与地基容许承载[σ]的数值关系近似为( )。 A.σ=0.24[σ] B.σ=0.72[σ] C.σ=0.83[σ] D.σ=1.21[σ]
选项
答案 C
解析 根据《铁路路基支挡结构设计规范》(TB 10025—2006)第3. 3. 6条,

猜你喜欢

发表评论
更多 网友评论0 条评论)
暂无评论

访问排行

Copyright © 2012-2014 恰考网 Inc. 保留所有权利。 Powered by tikuer.com

页面耗时0.0377秒, 内存占用1.03 MB, Cache:redis,访问数据库20次