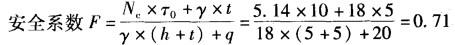
某开挖深度h=5m的基坑,土层为软土,重度y=18kN/m3,τ0=10kPa,φ=0,支护结构入土深度t=5m,坑顶地面荷载q=20kPa,设Nc=5....

作者: rantiku 人气: - 评论: 0
问题 某开挖深度h=5m的基坑,土层为软土,重度y=18kN/m3,τ0=10kPa,φ=0,支护结构入土深度t=5m,坑顶地面荷载q=20kPa,设Nc=5.14,Nq=1.0,则坑底土抗隆起稳定安全系数为( )。 A. 0. 63 B. 0.71 C. 0.80 D. 0.91
选项
答案 B
解析 根据《建筑地基基础设计规范》(GB 50007—2002)附录V,进行基坑底抗隆起稳定性验算: 式中,Nc为承载力系数,条形基础时取Nc=5.14;τ0 为抗剪强度(kPa); y为土的重(kN/m3);t为支护结构人员土深度(m);h为基坑开挖深度(m);q为地面荷载(kPa)

猜你喜欢

发表评论
更多 网友评论0 条评论)
暂无评论

访问排行

Copyright © 2012-2014 恰考网 Inc. 保留所有权利。 Powered by tikuer.com

页面耗时0.0417秒, 内存占用1.03 MB, Cache:redis,访问数据库18次