某矩形基坑位于均质粉砂土场地中,场地中粉砂土厚15m,渗透系数为2m/d,其下伏地层为泥岩,基坑尺寸为20m×50m,深7.0m,降水井深度为15m,地下...

作者: rantiku 人气: - 评论: 0
问题 某矩形基坑位于均质粉砂土场地中,场地中粉砂土厚15m,渗透系数为2m/d,其下伏地层为泥岩,基坑尺寸为20m×50m,深7.0m,降水井深度为15m,地下水位为1.5m,基坑施工时要求水位降至基坑底面以下0.5m。基坑采用完整井群降水,附近无地表水体(基坑远离边界),按《建筑基坑支护技术规程》(JGJ120—1999)计算,基坑涌水量为( )m3/d。 A. 282 B. 334 C. 412 D. 564
选项
答案 D
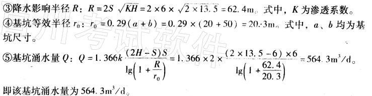
解析

猜你喜欢

发表评论
更多 网友评论0 条评论)
暂无评论

访问排行

Copyright © 2012-2014 恰考网 Inc. 保留所有权利。 Powered by tikuer.com

页面耗时0.0387秒, 内存占用1.03 MB, Cache:redis,访问数据库20次