某一薄层状裂隙发育的石灰岩出露场地,在距地面17m深处以下有一溶洞,洞高H0=2.0m。若按溶洞顶板坍塌自行填塞法对此溶洞的影响进行估算,地面下不受溶洞坍...

作者: rantiku 人气: - 评论: 0
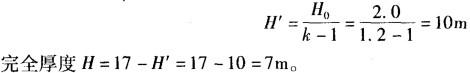
问题 某一薄层状裂隙发育的石灰岩出露场地,在距地面17m深处以下有一溶洞,洞高H0=2.0m。若按溶洞顶板坍塌自行填塞法对此溶洞的影响进行估算,地面下不受溶洞坍塌影响的岩层安全厚度最接近于下列哪个选项的数值?(石灰岩松散系数k取1.2)( ) A. 5m B. 7m C. 10m D. 12m
选项
答案 B
解析 顶板坍塌后,塌落体积增大,当塌落至一定高度H时,溶洞自行填满,无需考虑对地基的影响,所需坍落高度:

猜你喜欢

发表评论
更多 网友评论0 条评论)
暂无评论

访问排行

Copyright © 2012-2014 恰考网 Inc. 保留所有权利。 Powered by tikuer.com

页面耗时0.0478秒, 内存占用1.03 MB, Cache:redis,访问数据库20次