以厚层黏性土组成的冲积相地层,由于大量抽汲地下水引起大面积地面沉降。经20年观测,地面总沉降量达1250mm,从地面下深度65m处以下沉将观测标未发生沉降...

作者: rantiku 人气: - 评论: 0
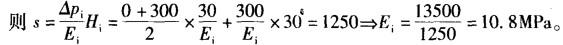
问题 以厚层黏性土组成的冲积相地层,由于大量抽汲地下水引起大面积地面沉降。经20年观测,地面总沉降量达1250mm,从地面下深度65m处以下沉将观测标未发生沉降,在 此期间,地下水位深度由5m下降到35m。问该黏性土地层的平均压缩模量最接近下列哪个选项?( ) A. 10. 8MPa B. 12. 5MPa C. 15. 8MPa D. 18. 1 MPa
选项
答案 A
解析 5m处水压力为0; 35m处水压力为(35-5)×10=300kPa ; 65m处水压力为300kPa;

猜你喜欢

发表评论
更多 网友评论0 条评论)
暂无评论

访问排行

Copyright © 2012-2014 恰考网 Inc. 保留所有权利。 Powered by tikuer.com

页面耗时0.0483秒, 内存占用1.03 MB, Cache:redis,访问数据库20次