某溶洞顶板较破碎,成碎块状,内摩擦角为34°,洞跨为8.5m,洞高为10m,洞底板埋深为28. 5m,按成拱理论计算,当塌落拱稳定后,洞顶板的厚度为( )...

作者: rantiku 人气: - 评论: 0
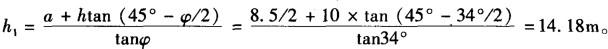
问题 某溶洞顶板较破碎,成碎块状,内摩擦角为34°,洞跨为8.5m,洞高为10m,洞底板埋深为28. 5m,按成拱理论计算,当塌落拱稳定后,洞顶板的厚度为( )m。 A. 4.32 B. 14. 18 C. 18.5 D. 28.5
选项
答案 A
解析 按成拱理论计算如下: ①塌落拱高度h1为: ②塌落拱稳定后洞顶板厚度h为:h=28.5-10-14.18=4.32m。 即该溶洞塌落稳定后,洞顶板厚度为4. 32m。

猜你喜欢

发表评论
更多 网友评论0 条评论)
暂无评论

访问排行

Copyright © 2012-2014 恰考网 Inc. 保留所有权利。 Powered by tikuer.com

页面耗时0.0372秒, 内存占用1.03 MB, Cache:redis,访问数据库20次