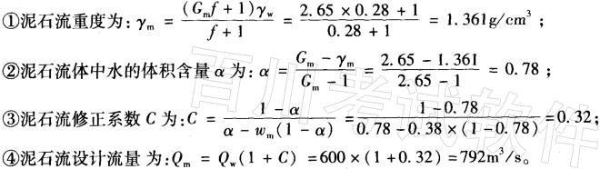
某地泥石流调查资料:固体物质体积与水的体积比为0.28,固体物质比重为2.65,设计清水流量为600m3/s,补给区中固体物质的原始含水量为38%,按第一...

作者: rantiku 人气: - 评论: 0
问题 某地泥石流调查资料:固体物质体积与水的体积比为0.28,固体物质比重为2.65,设计清水流量为600m3/s,补给区中固体物质的原始含水量为38%,按第一种配方法计算泥石流设计流量为( )m3/s。 A. 600 B. 680 C. 792 D. 880
选项
答案 C
解析 泥石流设计流量的具体计算如下:

猜你喜欢

发表评论
更多 网友评论0 条评论)
暂无评论

访问排行

Copyright © 2012-2014 恰考网 Inc. 保留所有权利。 Powered by tikuer.com

页面耗时0.0414秒, 内存占用1.03 MB, Cache:redis,访问数据库20次