某小窑采空区资料如下,顶板岩体容重为y=20kN/m3,顶板埋深为42m,巷道宽度为3.5m,顶板岩体内摩擦角为47°,在地表有一建筑物横跨巷道,建筑物基...

作者: rantiku 人气: - 评论: 0
问题 某小窑采空区资料如下,顶板岩体容重为y=20kN/m3,顶板埋深为42m,巷道宽度为3.5m,顶板岩体内摩擦角为47°,在地表有一建筑物横跨巷道,建筑物基础埋深1.5m, 基底附加压力P0=265kPa,采空段顶板上的压力及地基的稳定性为( )。 A. Q>0;地基稳定性差 B.Q>0;地基不稳定 C. Q<0;地基稳定性差 D.Q<0;地基稳定
选项
答案 C
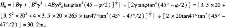
解析 根据《工程地质手册》有关要求计算如下: ①单位长度顶板上的压力Q为: Q =G+BP0-2f=yH[B-Htanφtan2(45°-φ/2)]+BP0=20×42×[3. 5 - 42tan47°tan2(45°-47°/2) ]+3. 5×265=-2002.90kPa。 巷道顶板压力小于零、顶板不受压力。 ②顶板的临界深度为: ③顶板稳定性为: H=42-1.5=40.5m,H0=30.2m,1.5H0=45.45m,则: H0<H<1.5H0,地基稳定性差。 即该小窑采空区顶板不受力Q<0,顶板地基稳定性差。

猜你喜欢

发表评论
更多 网友评论0 条评论)
暂无评论

访问排行

Copyright © 2012-2014 恰考网 Inc. 保留所有权利。 Powered by tikuer.com

页面耗时0.0311秒, 内存占用1.03 MB, Cache:redis,访问数据库18次