在地震基本烈度为8度的场区修建一座桥梁。场区地下水位埋深5m,场地土为:0~ 5m,非液化黏性土;5~15m,松散均匀的粉砂;15m以下为密实中砂。按《公...

作者: rantiku 人气: - 评论: 0
问题 在地震基本烈度为8度的场区修建一座桥梁。场区地下水位埋深5m,场地土为:0~ 5m,非液化黏性土;5~15m,松散均匀的粉砂;15m以下为密实中砂。按《公路工程抗震设计规范》(JTJ 004—1989)计算判别深度为5 ~ 15m的粉砂层为液化土层,液化抵抗系数均为0.7。若采用摩擦桩基础,深度5?15m的单桩摩阻力的综合折减系数α应为( )。 A. 1/6 B. 1/3 C. 1/2 D. 2/3
选项
答案 C
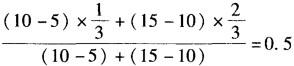
解析 根据《公路工程抗震设计规范》(JTJ 004-1989)表2. 2. 4,当ds≤10m时,折减系数α=1/3;当10m<ds≤20m时,折减系数α=2/3;若采用摩擦桩基础,则深度5~15m的单桩摩阻力的综合折减系数α为:

猜你喜欢

发表评论
更多 网友评论0 条评论)
暂无评论

访问排行

Copyright © 2012-2014 恰考网 Inc. 保留所有权利。 Powered by tikuer.com

页面耗时0.0430秒, 内存占用1.03 MB, Cache:redis,访问数据库20次