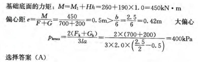
图示柱下钢筋混凝土独立基础,底面尺寸为2. 5m×2.0m,基础埋深为2m,上部结构传至基础顶面的竖向荷栽F为700kN,某础及其上土的平均重度为20kN...

作者: rantiku 人气: - 评论: 0
问题 图示柱下钢筋混凝土独立基础,底面尺寸为2. 5m×2.0m,基础埋深为2m,上部结构传至基础顶面的竖向荷栽F为700kN,某础及其上土的平均重度为20kN/m3,作用于基础底面的力矩M为260kN . m,距基底1m处作用水平荷栽H为190kN。该基础底面的好大压力与下列哪个数值最接近? (A) 400kPa (B) 396kPa (C) 213kPa (D) 180kPa
选项
答案 A
解析 【解答】基础及其上土重:G=γdιb=20×2×2.5× 2=200kN

猜你喜欢

发表评论
更多 网友评论0 条评论)
暂无评论

访问排行

Copyright © 2012-2014 恰考网 Inc. 保留所有权利。 Powered by tikuer.com

页面耗时0.0378秒, 内存占用1.03 MB, Cache:redis,访问数据库19次