某老建筑物采用条形基础,宽度2.0m,埋深2.5m,拟增层改造,探明基底以下2.0m 深处下卧淤泥质粉土,fak=90kPa,Es=3MPa。如图所示,已...

作者: rantiku 人气: - 评论: 0
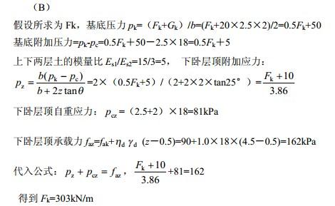
问题 某老建筑物采用条形基础,宽度2.0m,埋深2.5m,拟增层改造,探明基底以下2.0m 深处下卧淤泥质粉土,fak=90kPa,Es=3MPa。如图所示,已知上层土的重度为18kN/m3, 基础及其上土的平均重度为20kN/m3。地基承载力特征值fak=160kPa,无地下水,试问,基础顶面所允许的最大竖向力Fk与下列何项数值最为接近?
选项
答案 B
解析

猜你喜欢

发表评论
更多 网友评论0 条评论)
暂无评论

访问排行

Copyright © 2012-2014 恰考网 Inc. 保留所有权利。 Powered by tikuer.com

页面耗时0.0451秒, 内存占用1.03 MB, Cache:redis,访问数据库20次