在某水利工程中存在有可能产生流土破坏的地表土层,经取样试验,该层土的物理性质指标为土粒比重Gs=2.7,天然含水量w=22%,天然重度γ=19kN/m3,...

作者: rantiku 人气: - 评论: 0
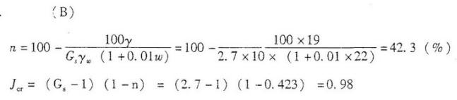
问题 在某水利工程中存在有可能产生流土破坏的地表土层,经取样试验,该层土的物理性质指标为土粒比重Gs=2.7,天然含水量w=22%,天然重度γ=19kN/m3,该土层发生流土破坏的临界水力比降最接近下列何值? (A) 0.88 (B) 0.98 (C) 1.08 (D) 1.18
选项
答案 B
解析

猜你喜欢

发表评论
更多 网友评论0 条评论)
暂无评论

访问排行

Copyright © 2012-2014 恰考网 Inc. 保留所有权利。 Powered by tikuer.com

页面耗时0.0405秒, 内存占用1.03 MB, Cache:redis,访问数据库20次