在100kPa大面积荷载的作用下,3m厚的饱和软土层排水固结,排水条件如图所示,从此土层中取样进行常规固结试验,测读试样变形与时间的关系,已知在100kP...

作者: rantiku 人气: - 评论: 0
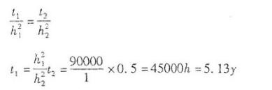
问题 在100kPa大面积荷载的作用下,3m厚的饱和软土层排水固结,排水条件如图所示,从此土层中取样进行常规固结试验,测读试样变形与时间的关系,已知在100kPa试验压力下,达到固结度为90%的时间为0.5小时,预估3m厚的土层达到90%固结度的时间最接近于下列何值?
选项
答案 C
解析 (C)

猜你喜欢

发表评论
更多 网友评论0 条评论)
暂无评论

访问排行

Copyright © 2012-2014 恰考网 Inc. 保留所有权利。 Powered by tikuer.com

页面耗时0.0438秒, 内存占用1.03 MB, Cache:redis,访问数据库19次