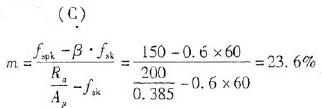
某小区地基釆用深层揽拌桩复合地基进行加固,已卸桩截面积Ap=0.385m2,单桩承载力特征值Ra=200kN,桩间土承载力特征值fsk=60kPa,桩间土...

作者: rantiku 人气: - 评论: 0
问题 某小区地基釆用深层揽拌桩复合地基进行加固,已卸桩截面积Ap=0.385m2,单桩承载力特征值Ra=200kN,桩间土承载力特征值fsk=60kPa,桩间土承载力折减系数β=0. 6,要求复合地基承载力特征值= 150kPa,问水泥土搅拌桩置换率m的设计值最接近下列何值? (A) 15% (B) 20% (C) 24% (D) 30%
选项
答案 C
解析

猜你喜欢

发表评论
更多 网友评论0 条评论)
暂无评论

访问排行

Copyright © 2012-2014 恰考网 Inc. 保留所有权利。 Powered by tikuer.com

页面耗时0.0426秒, 内存占用1.03 MB, Cache:redis,访问数据库18次