某很长的岩质边坡受一组节理控制,节理走向与边坡走向平行,地表出露线距边坡顶边緣线20m,坡顶水平,节理面与坡面交线和坡顶的高差为40m,与坡顶的水平距离1...

作者: rantiku 人气: - 评论: 0
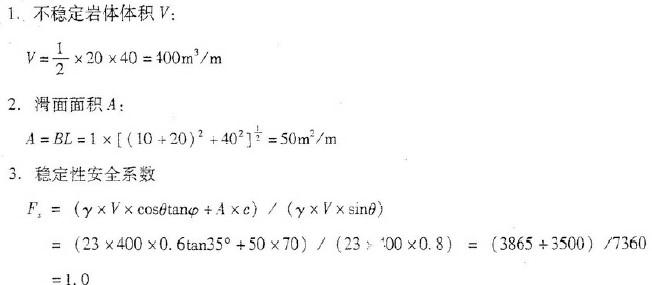
问题 某很长的岩质边坡受一组节理控制,节理走向与边坡走向平行,地表出露线距边坡顶边緣线20m,坡顶水平,节理面与坡面交线和坡顶的高差为40m,与坡顶的水平距离10m,节理面内摩擦角35°,粘聚力C=70kPa,岩体重度为23kN/m3,试验算抗滑稳定安全系数最接近( ) (A) 0.8 (B) 1.0 (C) 1.2 (D) 1.3
选项
答案 B
解析

猜你喜欢

发表评论
更多 网友评论0 条评论)
暂无评论

访问排行

Copyright © 2012-2014 恰考网 Inc. 保留所有权利。 Powered by tikuer.com

页面耗时0.0610秒, 内存占用1.03 MB, Cache:redis,访问数据库20次