独立高耸水塔基础采用正方形基础,基底平均压力值为p,偏心距e控制值为e=b/12, (b为基础底面宽度),验算偏心荷载作用下基底压力时,下列( )选项是正...

作者: rantiku 人气: - 评论: 0
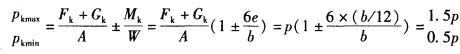
问题 独立高耸水塔基础采用正方形基础,基底平均压力值为p,偏心距e控制值为e=b/12, (b为基础底面宽度),验算偏心荷载作用下基底压力时,下列( )选项是正确的。 A. pmax =1.4p; pmin =0. 6p B. pmax =1.5p; pmin =0. 5p C. pmax=1.6P; pmin=0. 4p D. pmax =2p; pmin =0
选项
答案 B
解析 由于e =b/12<b/6,则最大、最小压力分别为:

猜你喜欢

发表评论
更多 网友评论0 条评论)
暂无评论

访问排行

Copyright © 2012-2014 恰考网 Inc. 保留所有权利。 Powered by tikuer.com

页面耗时0.0366秒, 内存占用1.03 MB, Cache:redis,访问数据库18次