一桥墩的地基土是一般黏性土,天然孔隙比e =0.4,天然含水量w=16% 塑限含水量为13%,液限含水量为28%,则该地基容许承载力为( )kPa。A...

作者: rantiku 人气: - 评论: 0
问题 一桥墩的地基土是一般黏性土,天然孔隙比e =0.4,天然含水量w=16% 塑限含水量为13%,液限含水量为28%,则该地基容许承载力为( )kPa。 A. 380 B. 410 C. 430 D. 450
选项
答案 C
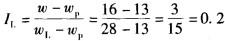
解析 由题可计算该地基的液性指数,可得, 已知天然孔隙比e=0.4<0.5,因此,e取0.5。根据《公路桥涵地基与基础设计规范》(JTG D63—2007)表 3. 3. 3-6,可得[δ0] =430kPa。

猜你喜欢

发表评论
更多 网友评论0 条评论)
暂无评论

访问排行

Copyright © 2012-2014 恰考网 Inc. 保留所有权利。 Powered by tikuer.com

页面耗时0.0282秒, 内存占用1.03 MB, Cache:redis,访问数据库19次