某动力机器基础的底面积由3m×4m调整为3m×4. 8m。关于地基动力特性参数的下列说法正确的是( )。A.抗压刚度与阻尼比为土性参数,不因基底面积调...

作者: rantiku 人气: - 评论: 0
问题 某动力机器基础的底面积由3m×4m调整为3m×4. 8m。关于地基动力特性参数的下列说法正确的是( )。 A.抗压刚度与阻尼比为土性参数,不因基底面积调整而改变 B.抗压刚度增大,阻尼比减小 C.抗压刚度减小,阻尼比增大 D.抗压刚度增大,阻尼比也增大
选项
答案 C
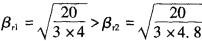
解析 基础底面积小于20m2 ,,抗压刚度减小。阻尼的变化可通过机组的质量比来计算。机组质量比的计算公式为:,A表示基础与土重。由题可知3m×4.8m>3m×4m,因此,该基础的底面积增加,减小,则阻尼比 增大。

猜你喜欢

发表评论
更多 网友评论0 条评论)
暂无评论

访问排行

Copyright © 2012-2014 恰考网 Inc. 保留所有权利。 Powered by tikuer.com

页面耗时0.0479秒, 内存占用1.03 MB, Cache:redis,访问数据库20次