一个建在自重湿陷性黄土地区的群桩基础,桩径d=0.8m,桩间距sax =say=2.5m,由于建筑场地浸水,黄土地基发生湿陷,桩四周出现负摩阻力,若已知中...

作者: rantiku 人气: - 评论: 0
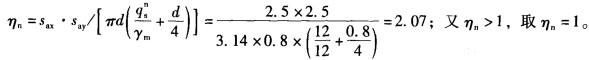
问题 一个建在自重湿陷性黄土地区的群桩基础,桩径d=0.8m,桩间距sax =say=2.5m,由于建筑场地浸水,黄土地基发生湿陷,桩四周出现负摩阻力,若已知中性点以上桩的平均负摩阻力标准值qns =12kN/m2,中性点以上桩周土加权平均有效重度ym=12kN/m3。 根据《建筑桩基技术规范》(JGJ 94—2008)的规定,该桩基的负摩阻力桩群效应系数ηn应取( )。 A. 2.07 B. 1.53 C. 1.00 D. 0.83
选项
答案 C
解析 根据《建筑桩基技术规范》(JGJ 94-2008)第5. 4. 4条,负摩阻力群桩效应系数

猜你喜欢

发表评论
更多 网友评论0 条评论)
暂无评论

访问排行

Copyright © 2012-2014 恰考网 Inc. 保留所有权利。 Powered by tikuer.com

页面耗时0.0422秒, 内存占用1.03 MB, Cache:redis,访问数据库15次