如图4-3所示桩,其中0.5l0长穿过软弱土层,0.5l0长在粉土层中,之后桩端进入卵砾石层,桩顶受竖向荷重Q后,因大面积地面填土,使桩身轴力变化,通过桩...

作者: rantiku 人气: - 评论: 0
问题 如图4-3所示桩,其中0.5l0长穿过软弱土层,0.5l0长在粉土层中,之后桩端进入卵砾石层,桩顶受竖向荷重Q后,因大面积地面填土,使桩身轴力变化,通过桩身传感器量测,获如图所示桩身轴力分布图,若桩周长为U,据轴力分布特征,桩在软土及粉土中侧摩阻力的分布图形及数值为( )。
选项
答案 D
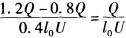
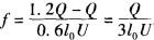
解析 具体分析过程如下: ①桩顶往下0.6l0范围内,软土层桩身轴力递增,说明此时桩侧摩阻力为负摩阻力,则: 。可见,f 是常量且是负值,所以呈矩形分布。 ②0.6l0处至桩端粉土层,桩身轴力递减,说明此时桩侧摩阻力为正摩阻力,则:f= 。可见,f也是常量且是正值,所以也呈矩形分布。

猜你喜欢

发表评论
更多 网友评论0 条评论)
暂无评论

访问排行

Copyright © 2012-2014 恰考网 Inc. 保留所有权利。 Powered by tikuer.com

页面耗时0.0254秒, 内存占用1.03 MB, Cache:redis,访问数据库19次