拟用挤密桩法消除湿陷性黄土地基的湿陷性,当挤密桩直径d为0.4m,按三角形布桩时,桩孔中心距s采用1.0m,若桩径改为0. 45m,要求面积置换率m相同,...

作者: rantiku 人气: - 评论: 0
问题 拟用挤密桩法消除湿陷性黄土地基的湿陷性,当挤密桩直径d为0.4m,按三角形布桩时,桩孔中心距s采用1.0m,若桩径改为0. 45m,要求面积置换率m相同,此时桩孔中心距宜采用( )m。 A. 1.08 B. 1. 13 C. 1.20 D. 1.27
选项
答案 B
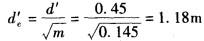
解析 根据《建筑地基处理技术规范》(JGJ 79—2002)第7. 2. 8条,一根桩分担的处理地基面积的等效圆直径为:de=1.05s= 1. 05×1. 0 = 1. 05m;桩土面积置换率为:m =d2/d2e=0.42/1.052=0.145;若桩径改为 0.45m,则,此时桩孔中心距为s′=d′e/1.05=1.13m。

猜你喜欢

发表评论
更多 网友评论0 条评论)
暂无评论

访问排行

Copyright © 2012-2014 恰考网 Inc. 保留所有权利。 Powered by tikuer.com

页面耗时0.0379秒, 内存占用1.03 MB, Cache:redis,访问数据库20次