拟用挤密桩法消除湿陷性黄土地基的湿陷性,当挤密桩直径d为0.4m,按三角形布桩时,桩孔中心距s采用1.0m,若桩径改为0.45m,要求面积置换率m相同,此...

作者: rantiku 人气: - 评论: 0
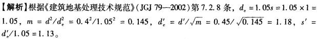
问题 拟用挤密桩法消除湿陷性黄土地基的湿陷性,当挤密桩直径d为0.4m,按三角形布桩时,桩孔中心距s采用1.0m,若桩径改为0.45m,要求面积置换率m相同,此时桩孔中心距s宜采用下列( )选项的值。 A. 1.08 B. 1. 13 C. 1.20 D. 1.27
选项
答案 B
解析

猜你喜欢

发表评论
更多 网友评论0 条评论)
暂无评论

访问排行

Copyright © 2012-2014 恰考网 Inc. 保留所有权利。 Powered by tikuer.com

页面耗时0.0399秒, 内存占用1.03 MB, Cache:redis,访问数据库19次