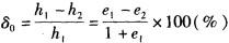
下列()是多年冻土融沉系数的正确表达式。(其中,e1为融沉前的孔隙比,e2为融沉后的孔隙比)

作者: rantiku 人气: - 评论: 0
问题 下列()是多年冻土融沉系数的正确表达式。(其中,e1为融沉前的孔隙比,e2为融沉后的孔隙比)
选项
答案 D
解析 冻土的平均融化下沉系数δ0。可按下式计算: 式中,h1、e1表示冻土试样融化前的高度(mm)和孔隙比;h2、e2表示冻土试样融化后的高度(mm)和孔隙比。

猜你喜欢

发表评论
更多 网友评论0 条评论)
暂无评论

访问排行

Copyright © 2012-2014 恰考网 Inc. 保留所有权利。 Powered by tikuer.com

页面耗时0.0308秒, 内存占用1.03 MB, Cache:redis,访问数据库18次