下列关于对多年冻土的融沉性分类的说法正确的是( )。A. 土的融沉性应根据冻土的含水量划分B. 土的融沉性应根据融化下沉系数大小划分C.融沉系...

作者: rantiku 人气: - 评论: 0
问题 下列关于对多年冻土的融沉性分类的说法正确的是( )。 A. 土的融沉性应根据冻土的含水量划分 B. 土的融沉性应根据融化下沉系数大小划分 C.融沉系数等于冻土试样融化前后的高度差与融化后高度的比值百分数 D.总含水量包括冻结和未冻结水
选项
答案 ABD
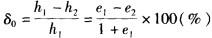
解析 根据《冻土地区建筑地基基础设计规范》(JGJ 118—1998)第3. 1.6条,融沉系数等于冻土试样融化前后的高度差与融化前高度的比值百分数;总含水量w0包括冰和未冻水;平均融沉系数为:,式中,h1、e1为冻土试样融化前的高度(mm)和孔隙比;h2、e2为冻土试样融化后的高度(mm)和孔隙比。

猜你喜欢

发表评论
更多 网友评论0 条评论)
暂无评论

访问排行

Copyright © 2012-2014 恰考网 Inc. 保留所有权利。 Powered by tikuer.com

页面耗时0.0368秒, 内存占用1.03 MB, Cache:redis,访问数据库20次