按《建筑抗震设计规范》(GB 50011 —2010)场地类型为II类,结构自振周期为1s,阻尼比ζ=0.05,设计地震分组为第二组罕遇地震,计算地震烈度...

作者: rantiku 人气: - 评论: 0
问题 按《建筑抗震设计规范》(GB 50011 —2010)场地类型为II类,结构自振周期为1s,阻尼比ζ=0.05,设计地震分组为第二组罕遇地震,计算地震烈度为8度时的地震影响系数α接近下列( )项数值。 A. 0.44 B. 0.45 C. 0.60 D. 0.90
选项
答案 A
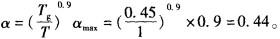
解析 根据《建筑抗震设计规范》(GB 50011—2010)第5. 1.4条和第5. 1.5条,αmax = 0.90;又因为为8度罕遇地震,Tg =0.45;阻尼比ζ=0.05;则:

猜你喜欢

发表评论
更多 网友评论0 条评论)
暂无评论

访问排行

Copyright © 2012-2014 恰考网 Inc. 保留所有权利。 Powered by tikuer.com

页面耗时0.0330秒, 内存占用1.03 MB, Cache:redis,访问数据库17次