在进行液化指数的计算时,下列陈述正确的是( )。 A.液化指数取决于地表下15m范围之内的土层特性,上部土层的影响权数较大B.液化指数取决于地表下...

作者: rantiku 人气: - 评论: 0
问题 在进行液化指数的计算时,下列陈述正确的是( )。 A.液化指数取决于地表下15m范围之内的土层特性,上部土层的影响权数较大 B.液化指数取决于地表下15m范围之内的土层特性厚度大的土层影响权数大 C.液化指数取决于覆盖层范围之内的土层特性,上部土层的影响权数较大 D.液化指数取决于覆盖层范围之内的土层特性,可液化土层的影响权数较大
选项
答案 A
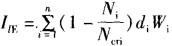
解析 根据《建筑抗震设计规范》(GB 50011 —2010)第4. 3. 5条,液化指数的计算公式为: 。 式中,IIE为液化指数;n为在判别深度范围内每一钻孔标准贯入试验点的总数;Ni、Ncri分别为i点标准贯入锤击数的实测值和临界值,当实测值 大于临界值时应取临界值的数值;di为i点所代表的土层厚度(m),可采用与该标准贯入试验点相邻的上、下两标准贯入试验点深度差的一半,但上界不高于地下水位深度,下界不深于液化深;Wi为i土层单位土层厚度的层位影响权函数(单位为m-1)。当该层中点深度不大于5m时应采用10,等于20m时应采用零值,5 ~20m时应按线性内插法取值。

猜你喜欢

发表评论
更多 网友评论0 条评论)
暂无评论

访问排行

Copyright © 2012-2014 恰考网 Inc. 保留所有权利。 Powered by tikuer.com

页面耗时0.0337秒, 内存占用1.03 MB, Cache:redis,访问数据库20次