某黄土试样原始高度为20mm,当加压至上覆土层的饱和自重压力时,下沉稳定后的髙度为19mm,在此压力下浸水后测得附加下沉稳定后的高度为18mm。该试样的自...

作者: rantiku 人气: - 评论: 0
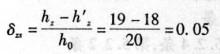
问题 某黄土试样原始高度为20mm,当加压至上覆土层的饱和自重压力时,下沉稳定后的髙度为19mm,在此压力下浸水后测得附加下沉稳定后的高度为18mm。该试样的自重湿陷系数为下列哪个选项的数值() A.0.050 B.0.053 C.O.100 D.O.110
选项
答案 A
解析 据《湿陷性黄土地区建筑规范》GB50025-2004第4.3.4条

猜你喜欢

发表评论
更多 网友评论0 条评论)
暂无评论

访问排行

Copyright © 2012-2014 恰考网 Inc. 保留所有权利。 Powered by tikuer.com

页面耗时0.0342秒, 内存占用1.03 MB, Cache:redis,访问数据库19次