某批原料药总件数为256件,进行检验时随机取样量应为A:8件B:9件C:13件D:16件E:17件

作者: rantiku 人气: - 评论: 0
问题 某批原料药总件数为256件,进行检验时随机取样量应为
选项 A:8件 B:9件 C:13件 D:16件 E:17件
答案 E
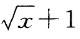
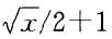
解析 样品总件数为x,如按包装件数来取样,其原则为:当x≤3时,每件取样;当300≥x>3时,按 随机取样;当x>300时,按 随机取样。一次取样量最少可供三次检验用量,同时还应保证留样观察的用量。当x=256,则取样量为:

猜你喜欢

发表评论
更多 网友评论0 条评论)
暂无评论

Copyright © 2012-2014 恰考网 Inc. 保留所有权利。 Powered by tikuer.com

页面耗时0.0577秒, 内存占用1.02 MB, Cache:redis,访问数据库14次