药品生产企业的某批原料,共有包装324件,检验时随机取样量应为A:9件B:10件C:17件D:18件E:19件

作者: rantiku 人气: - 评论: 0
问题 药品生产企业的某批原料,共有包装324件,检验时随机取样量应为
选项 A:9件 B:10件 C:17件 D:18件 E:19件
答案 B
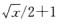
解析 样品总件数为x,如按包装件数来取样,其原则为:当x≤3时,每件取样;当300≥x>3时,按随机取样;当x>300时,按在随机取样。一次取样量最少可供3次检验用量,同时还应保证留样观察的用量。当x=324,则取样量为

猜你喜欢

发表评论
更多 网友评论0 条评论)
暂无评论

Copyright © 2012-2014 恰考网 Inc. 保留所有权利。 Powered by tikuer.com

页面耗时0.0411秒, 内存占用1.03 MB, Cache:redis,访问数据库18次