单室模型静脉滴注血药浓度随时间变化的公式是

作者: rantiku 人气: - 评论: 0
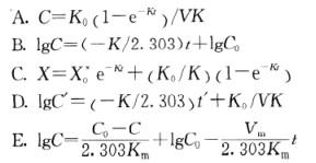
问题 单室模型静脉滴注血药浓度随时间变化的公式是
选项

答案 A
解析 本题主要考查单室模型静脉注射和静脉滴注的血药动力学方程。包括单室模型静脉注射体内血药浓度随时间变化的公式,静脉滴注体内血药浓度随时间变化的公式,静脉滴注静脉注射联合用药时体内血药浓度随时间变化的公式。故本题答案应选择B、A、D。

猜你喜欢

发表评论
更多 网友评论0 条评论)
暂无评论

Copyright © 2012-2014 恰考网 Inc. 保留所有权利。 Powered by tikuer.com

页面耗时0.0471秒, 内存占用1.03 MB, Cache:redis,访问数据库20次