由于高速路段处理事故,某嵩速收费站检票口暂停工作。待开始检票通行时,收费站已有若干车辆在排队,每分钟来的车辆一样多。从开始检票到等候车队消失,若同时开3个...

作者: rantiku 人气: - 评论: 0
问题 由于高速路段处理事故,某嵩速收费站检票口暂停工作。待开始检票通行时,收费站已有若干车辆在排队,每分钟来的车辆一样多。从开始检票到等候车队消失,若同时开3个入口需30分钟,同时开4个入口需20分钟。如果同时开5个入口,需要多少分钟?( )
选项 A. 18 B. 15 C. 12 D. 10
答案 B
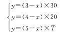
解析 应用核心公式:y=(N-x)T,y代表排队等候的车辆,x表示车辆的增长速度,N表示检票入口数,T表示队伍完全消失的时间。根据公式可得 解得:x=1,y= 60,:T=15。故本题答案为B。

猜你喜欢

发表评论
更多 网友评论0 条评论)
暂无评论

访问排行

Copyright © 2012-2014 恰考网 Inc. 保留所有权利。 Powered by tikuer.com

页面耗时0.0675秒, 内存占用1.03 MB, Cache:redis,访问数据库18次