甲班与乙班同学同时从学校出发去某公园,甲班步行的速度是每小时4千米,乙班步行的速度是每小时3千米。学校有一辆汽车,它的速度是每小时48千米,这辆汽车恰好能...

作者: rantiku 人气: - 评论: 0
问题 甲班与乙班同学同时从学校出发去某公园,甲班步行的速度是每小时4千米,乙班步行的速度是每小时3千米。学校有一辆汽车,它的速度是每小时48千米,这辆汽车恰好能坐一个班的学生。为了使这两班学生在最短的时间内到达,那么,甲班学生与乙班学生需要步行的距离之比是( )。
选项 A. 15 : 11 B. 17: 22 C. 19 : 24 D. 21 : 27
答案 A
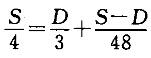
解析 已知甲班步行的速度是每小时4千米,乙班步行的速度是每小时3千米,即甲的速度大于乙的速度,如果要使这两班学生在最短的时间内到达,则甲班的学生走的路程肯定要比乙班的多,答案中只有A是甲大于乙的,故选之。用常规方法解题,由題意可知:甲班到公园的距离等于乙班步行的距离加上乙班在车上行驶的距离,并且甲班到公园的时间等于乙班步行的时间加上乙班在车上行驶的时间,先设甲班步行距离为S,乙班步行的距离为D,则,求得S : D=15 : 11,故应选A。

猜你喜欢

发表评论
更多 网友评论0 条评论)
暂无评论

访问排行

Copyright © 2012-2014 恰考网 Inc. 保留所有权利。 Powered by tikuer.com

页面耗时0.0403秒, 内存占用1.03 MB, Cache:redis,访问数据库20次