学校组织义务植树,现有杨树和柳树两种树苗,首先种了15棵杨树,剩下的杨树占剩下的树苗的1/3,又种了2棵杨树,剩下的杨树占所剩树苗的1/4,问种下的杨树与...

作者: rantiku 人气: - 评论: 0
问题 学校组织义务植树,现有杨树和柳树两种树苗,首先种了15棵杨树,剩下的杨树占剩下的树苗的1/3,又种了2棵杨树,剩下的杨树占所剩树苗的1/4,问种下的杨树与剩下的杨树数量之比为多少?( )
选项 A. 4 : 7 B. 17 : 4 C. 6 : 13 D. 21 : 5
答案 B
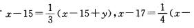
解析 设杨树苗共有x棵,柳树苗共有y棵,则有17+y),解得x=21,y=12。则种下的杨树与剩下的杨树数量之比为17 : (21-17) = 17 : 4。

猜你喜欢

发表评论
更多 网友评论0 条评论)
暂无评论

访问排行

Copyright © 2012-2014 恰考网 Inc. 保留所有权利。 Powered by tikuer.com

页面耗时0.0344秒, 内存占用1.03 MB, Cache:redis,访问数据库18次