2012年清洁能源机组并网容量占当年并网机组总容量的比重比上年( )。A.上升了 5. 5个百分占B.上升了 2. 5个百分点C.下降了 ...

作者: rantiku 人气: - 评论: 0
问题 2012年清洁能源机组并网容量占当年并网机组总容量的比重比上年( )。
选项 A.上升了 5. 5个百分占 B.上升了 2. 5个百分点 C.下降了 5. 5个百分点 D.下降了 2. 5个百分点
答案 B
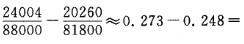
解析 根据表格中数据,所求比重差值为0.025。即上升了2.5个百分点。因此,本题答案为B选项。

猜你喜欢

发表评论
更多 网友评论0 条评论)
暂无评论

访问排行

Copyright © 2012-2014 恰考网 Inc. 保留所有权利。 Powered by tikuer.com

页面耗时0.0683秒, 内存占用1.03 MB, Cache:redis,访问数据库18次