关于2008-2012年间国家电网公司清洁能源的发展,能够从资料中推出的是()。A.新能源发电机组上网电量从2011年开始超过核电上网电量B....

作者: rantiku 人气: - 评论: 0
问题 关于2008-2012年间国家电网公司清洁能源的发展,能够从资料中推出的是()。
选项 A.新能源发电机组上网电量从2011年开始超过核电上网电量 B.水电上网电量年均增长率超过同期水电并网容量 C.新能源发电机组并网容量翻了8番 D.核电上网电量保持持续增长
答案 B
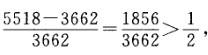
解析 A选项,由表格中数据,新能源发电机组上网电量从2010年开始就已经超过核电上网电量(492>308),A选项错误; B选项,增长率计算,2008-2012年,水电上网电量的增长率为 同期水电并网容量增长率为,故水电上网电量的年均增长率高于同期水电并网容量增长率,B选项正确; C选项,由表格中数据,2012年新能源发电机组并网容量大约是2008年的8倍(6548/803),不是8番(256倍)。C选项错误; D选项,2010年核电上网电量为下降,D选项错误。 因此,本题答案为B选项。

猜你喜欢

发表评论
更多 网友评论0 条评论)
暂无评论

访问排行

Copyright © 2012-2014 恰考网 Inc. 保留所有权利。 Powered by tikuer.com

页面耗时0.0338秒, 内存占用1.03 MB, Cache:redis,访问数据库18次