2010年1-3月,我国鲜苹果出口总量为31.2万吨,与上年同期相比下降11%;总出口额为 2.1亿美元,增加4%;平均单价为679美元/吨,上升17%。...

作者: rantiku 人气: - 评论: 0
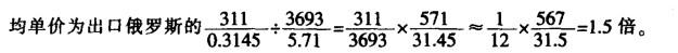
问题 2010年1-3月,我国鲜苹果出口总量为31.2万吨,与上年同期相比下降11%;总出口额为 2.1亿美元,增加4%;平均单价为679美元/吨,上升17%。 2010年1-3月,我国鲜苹果对俄罗斯的出口量为5.71万吨,同比减少13%,出口额为 3693万美元,同比减少3%;对欧盟27国的出口量为3145吨,同比减少55%,出口额为311万 美元,同比减少45%。 2010年1-3月,我国出口欧盟27国的鲜苹果平均单价是出口俄罗斯的多少倍?
选项 A.1.5 B.2 C.2.5 D.3
答案 A
解析 2010年1-3月,我国鲜苹果对俄罗斯的出口量为5.71万吨,出口额为3693万美元,单价 为(3693÷5.71)美元/吨;对欧盟27国的出口量为3145吨,出口额为311万美元,单价为(311÷0.3145)美元/吨,平

猜你喜欢

发表评论
更多 网友评论0 条评论)
暂无评论

访问排行

Copyright © 2012-2014 恰考网 Inc. 保留所有权利。 Powered by tikuer.com

页面耗时0.0380秒, 内存占用1.03 MB, Cache:redis,访问数据库17次