用计算机录入一份书稿,甲单独做10天可以完成,乙单独做15天可以完成,现在甲、乙 二人合做,由于乙中途生病休息若干天,共用8天完成,那么甲、乙工作时间之比...

作者: rantiku 人气: - 评论: 0
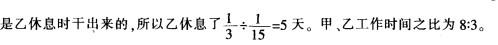
问题 用计算机录入一份书稿,甲单独做10天可以完成,乙单独做15天可以完成,现在甲、乙 二人合做,由于乙中途生病休息若干天,共用8天完成,那么甲、乙工作时间之比为:
选项 A.4:3 B.2:l C.8:5 D.8:3
答案 D
解析

猜你喜欢

发表评论
更多 网友评论0 条评论)
暂无评论

访问排行

Copyright © 2012-2014 恰考网 Inc. 保留所有权利。 Powered by tikuer.com

页面耗时0.0418秒, 内存占用1.03 MB, Cache:redis,访问数据库20次