2011年全国海洋生产总值45570亿元,比上年增长10.4%。海洋生产总值占国内生产总 值的9.7%。其中,海洋第一产业增加值2327亿元,第二产业增加...

作者: rantiku 人气: - 评论: 0
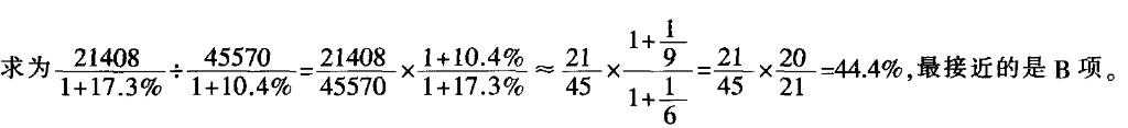
问题 2011年全国海洋生产总值45570亿元,比上年增长10.4%。海洋生产总值占国内生产总 值的9.7%。其中,海洋第一产业增加值2327亿元,第二产业增加值21835亿元,第三产业增加 值21408亿元,分别比上年增长12.6%、3.9%和17.3%。 从区域看,环渤海地区海洋生产总值16442亿元,占全国海洋生产总值的比重比上年提高 1.1个百分点。长江三角洲地区海洋生产总值13721亿元,占全国海洋生产总值的比重比上年 回落了 1.9个百分点。珠江三角洲地区海洋生产总值9807亿元,占全国海洋生产总值的比重 比上年提高0.6个百分点。 2010年海洋第三产业增加值占全国海洋生产总值的比重为:
选项 A.48.3% B.44.2% C.51.3% D.53.2%
答案 B
解析

猜你喜欢

发表评论
更多 网友评论0 条评论)
暂无评论

访问排行

Copyright © 2012-2014 恰考网 Inc. 保留所有权利。 Powered by tikuer.com

页面耗时0.0319秒, 内存占用1.03 MB, Cache:redis,访问数据库13次