2011年8月,上海市接待日本游客数是新加坡游客数的()倍。A.6.4B.8.5C.9.8D.10.7

作者: rantiku 人气: - 评论: 0
问题 2011年8月,上海市接待日本游客数是新加坡游客数的()倍。
选项 A.6.4 B.8.5 C.9.8 D.10.7
答案 B
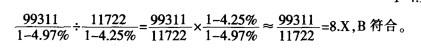
解析

猜你喜欢

发表评论
更多 网友评论0 条评论)
暂无评论

访问排行

Copyright © 2012-2014 恰考网 Inc. 保留所有权利。 Powered by tikuer.com

页面耗时0.0497秒, 内存占用1.03 MB, Cache:redis,访问数据库20次