农展馆的工作人员对每一位来参观展会的人员进行“您是通过什么方式知道本展会的人员 的调查,第一天统计调査结果时发现总人数是500人,“通过电视广告”项的投票...

作者: rantiku 人气: - 评论: 0
问题 农展馆的工作人员对每一位来参观展会的人员进行“您是通过什么方式知道本展会的人员 的调查,第一天统计调査结果时发现总人数是500人,“通过电视广告”项的投票率是68%。当 第二天再次统计时,发现“通过电视广告”项的投票率是72%,则此时的投票总人数至少是:
选项 A.570 B.575 C.600 D.625
答案 B
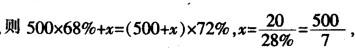
解析 当第二天新增的人数全都投票“通过电视广告”项时,投票总人数会最少。设第二天新增人数为x,则则新增人数应大于 71。因为(500+x)x72%=(500+x)x18/25的结果仍然是整数(投该选项的人数必须是整数),500是25的倍数,故X应是25的倍数,结合前面的计箅结果可知x至少为75,总人数至少是500+75=575人。

猜你喜欢

发表评论
更多 网友评论0 条评论)
暂无评论

访问排行

Copyright © 2012-2014 恰考网 Inc. 保留所有权利。 Powered by tikuer.com

页面耗时0.0663秒, 内存占用1.03 MB, Cache:redis,访问数据库13次