工厂加工某种零件,经测定,单独加工完成这种零件,甲车床需用;c小时,乙车床需用 (x2-I)小时,丙车床需用(2x-2 )小时。若甲车床用时是丙车床的2/...

作者: rantiku 人气: - 评论: 0
问题 工厂加工某种零件,经测定,单独加工完成这种零件,甲车床需用;c小时,乙车床需用 (x2-I)小时,丙车床需用(2x-2 )小时。若甲车床用时是丙车床的2/3,从早上8点开始,甲、乙、丙三车床轮流开工,每次开工1小时,12:00~13:30为午休时间不开工。则预计几点能完成这批零 件的加工工作?
选项 A. 14:04 B. 14:08 C.15:34 D.15:38
答案 D
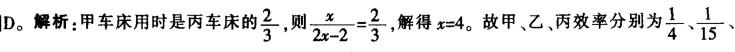
解析

猜你喜欢

发表评论
更多 网友评论0 条评论)
暂无评论

访问排行

Copyright © 2012-2014 恰考网 Inc. 保留所有权利。 Powered by tikuer.com

页面耗时0.0390秒, 内存占用1.02 MB, Cache:redis,访问数据库14次