小明和小强参加同一次考试,如果小明答对的题目占题目总数的3/4,小强答对了27道题,他们两人都答对的题目占题目总数的2/3。那么两人都没有答对的题目共有(...

作者: rantiku 人气: - 评论: 0
问题 小明和小强参加同一次考试,如果小明答对的题目占题目总数的3/4,小强答对了27道题,他们两人都答对的题目占题目总数的2/3。那么两人都没有答对的题目共有( )。 A.3道 B.4道 C.5道 D.6道
选项
答案 D
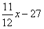
解析 【参考解析】: 本题可以根据容斥原理。设总共有x道题,两人都没有答对的题目为y道,则如图所示,阴影部分为两人都答对的部分,即x道。 由此可得: 化简得:y=,因为x、y均为正整数,所以x必须为12的倍数,而且由选项知3≤y≤6。 当x=12时,y=一16,不合题意; 当x=24时,y=一5,不合题意; 当x=36时,y=6,符合题意; 所以,两人都没答对的题目为6道,正确答案为D。

猜你喜欢

发表评论
更多 网友评论0 条评论)
暂无评论

访问排行

Copyright © 2012-2014 恰考网 Inc. 保留所有权利。 Powered by tikuer.com

页面耗时0.0428秒, 内存占用1.03 MB, Cache:redis,访问数据库18次