作者: rantiku 人气: - 评论: 0
问题
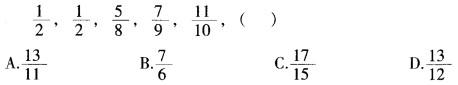
选项
答案 D
解析 各项依次写为2/4,3/6,5/8,7/9,11/10,(13/12)。 分子2,3,5,7,11,(13)是连续质数;分母4,6,8,9,10,(12)是连续合数。

相关内容:

猜你喜欢

发表评论
更多 网友评论0 条评论)
暂无评论

访问排行

Copyright © 2012-2014 恰考网 Inc. 保留所有权利。 Powered by tikuer.com

页面耗时0.0243秒, 内存占用1.01 MB, Cache:redis,访问数据库18次