某企业发生超压事故,事发后采用事故树分析事故发生的原因,如下图所示,图中T 为超压事故、G1 为压力升高、G2 为真空阀失效、X1 为保温层失效、X2 为...

作者: tihaiku 人气: - 评论: 0
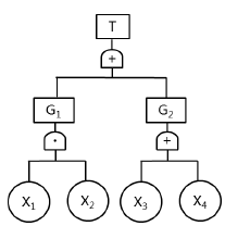
问题 某企业发生超压事故,事发后采用事故树分析事故发生的原因,如下图所示,图中T 为超压事故、G1 为压力升高、G2 为真空阀失效、X1 为保温层失效、X2 为罐体破裂、X3 为阀门受撞击、X3 为材质失效。则导致该事故发生的基本原因是( )。
选项 A.{X1,X2} B.{X4} C.{X3} D.{X1,X3} E.{X2,X4}
答案 ABC
解析 考点:事故发生的基本原因组合。 根据事故树分析最小事故原因组合,通过逻辑门关系将答案带入进行推理。

相关内容:企业,事故,分析,原因,下图,图中,压力,真空

猜你喜欢

发表评论
更多 网友评论0 条评论)
暂无评论

访问排行

Copyright © 2012-2014 恰考网 Inc. 保留所有权利。 Powered by tikuer.com

页面耗时0.0425秒, 内存占用1.05 MB, Cache:redis,访问数据库19次