某危险化学品罐区位于人口相对稀少的空旷地带,罐区500m 范围内有一村庄,现常住人口120~150 人。该罐区存有550t 丙酮、12t 环氧丙烷、600...

作者: tihaiku 人气: - 评论: 0
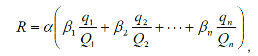
问题 某危险化学品罐区位于人口相对稀少的空旷地带,罐区500m 范围内有一村庄,现常住人口120~150 人。该罐区存有550t 丙酮、12t 环氧丙烷、600t 甲醇。危险化学品名称及其临界量见下表。重大危险源分级指标 其中q—某种危险化学品实际在线量(t),Q-与各危险化学品相对应的临界量(t)。据此,请判断该辖区危险化学品重大危险源属于( )。
选项 A.一级 B.二级 C.三级 D.四级
答案 D
解析 考点:重大危险源分级。常住人口120-150 人,库房外暴露人员100 人以上的校正系数α为2;丙酮、环氧丙烷、甲醇都是易燃液体,所以本题取β为1;550t 丙酮(临界量500t)、12t 环氧丙烷(临界量10t)、600t 甲醇(临界量500t);将上述数据带入公式得: 故本题选择D 选项;

相关内容:化学品,罐区,人口,地带,范围,村庄,该罐区,丙酮,环氧,丙烷,600...

猜你喜欢

发表评论
更多 网友评论0 条评论)
暂无评论

访问排行

Copyright © 2012-2014 恰考网 Inc. 保留所有权利。 Powered by tikuer.com

页面耗时0.0986秒, 内存占用1.04 MB, Cache:redis,访问数据库15次