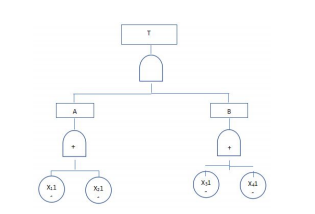
某起高处坠落事故的事故树分析如图所示,T 代表高处坠落事故,A 代表安全带未起作用, B 代表脚手架栏杆缺失,X1 为安全带功能损坏,X2 为安全带未高挂...

作者: tihaiku 人气: - 评论: 0
问题 某起高处坠落事故的事故树分析如图所示,T 代表高处坠落事故,A 代表安全带未起作用, B 代表脚手架栏杆缺失,X1 为安全带功能损坏,X2 为安全带未高挂低用,X3 为安全措施费用 不到位,X4 为脚手架栏杆强度不足,可能导致该起事故的原因有( )。
选项 A.X1、X3 B.X2、X3 C.X1、X2 D.X1、X4 E.X2、X4
答案 ABDE
解析 由事故树可知,只要末端事件:X1X3、X1X4、X2X3、X2X4 事故同时发生,即“安全带 未起作用”与“脚手架栏杆缺失”同时发生时才可能导致事故—顶端事件 T 发生; 故本题选择 ABDE 选项;

相关内容:某起,高处,事故,分析,如图,代表,安全带,脚手架,栏杆,缺失,高挂

猜你喜欢

发表评论
更多 网友评论0 条评论)
暂无评论

访问排行

Copyright © 2012-2014 恰考网 Inc. 保留所有权利。 Powered by tikuer.com

页面耗时0.0423秒, 内存占用1.05 MB, Cache:redis,访问数据库19次