已知某混合气体中甲烷占60%,乙烷占20%,丙烷占20%,各组分相应的爆炸下限分别为5%、3.22%和2.37%,则该混合气体的爆炸下限为(  )。A.2...

作者: tihaiku 人气: - 评论: 0
问题 已知某混合气体中甲烷占60%,乙烷占20%,丙烷占20%,各组分相应的爆炸下限分别为5%、3.22%和2.37%,则该混合气体的爆炸下限为(  )。
选项 A.2.57% B.2.75% C.3.22% D.3.75%
答案 D
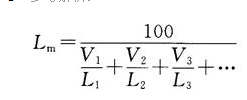
解析 由多种可燃气体组成爆炸性混合气体的爆炸极限,可根据各组分的爆炸极限进行计算。其计算公式如下: 本题中,Lm=100/(0.6/0.05+0.2/0.0322+0.2/0.0237)-3.75%,因此答案为D。

相关内容:混合,甲烷,乙烷,丙烷,下限,气体,A.2...

猜你喜欢

发表评论
更多 网友评论0 条评论)
暂无评论

Copyright © 2012-2014 恰考网 Inc. 保留所有权利。 Powered by tikuer.com

页面耗时0.0477秒, 内存占用1.05 MB, Cache:redis,访问数据库20次