假设某认股权证目前股价为5元,权证的行权价为4.5元,存续期为1年,股价年波动率为0.25,无风险利率为8%,则认股权证的价值为( )元。[已知...

作者: tihaiku 人气: - 评论: 0
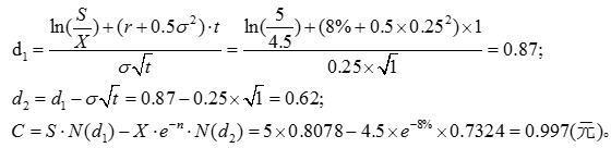
问题 假设某认股权证目前股价为5元,权证的行权价为4.5元,存续期为1年,股价年波动率为0.25,无风险利率为8%,则认股权证的价值为( )元。[已知累积正态分布表N(0.87)=0.8078,N(0.62)=0.7324]
选项 A、0.22 B、0.33 C、0.54 D、0.997
答案 D
解析 D

相关内容:假设,认股权证,股价,权证,行权,4.5元,存续期,波动率,风险,利率,价值

猜你喜欢

发表评论
更多 网友评论0 条评论)
暂无评论

访问排行

Copyright © 2012-2014 恰考网 Inc. 保留所有权利。 Powered by tikuer.com

页面耗时0.0330秒, 内存占用1.05 MB, Cache:redis,访问数据库19次